Por último, pero no por ello menos importante, el premio Ig Nobel 2025 de Biología a viajado hasta Japón
Los japoneses Tomoki Kojima, Kazato Oishi, Yasushi Matsubara, Yuki Uchiyama, Yoshihiko Fukushima, Naoto Aoki, Say Sato, Tatsuaki Masuda, Junichi Ueda, Hiroyuki Hirooka y Katsutoshi Kino logran este galardón.
En resumen, estos científicos se han dedicado a ir pintando las rayas de las cebras en unas vacas japonesas, para ver si el efecto repelente de parásitos observado en las cebras funcionaba también contra las moscas del ganado.
Y parece ser que es que sí. Tanto es de esta manera, que formularon una hipótesis desde las páginas de “Plos One” que se podría pensar en utilizar este método como repelente para reducir el uso de pesticidas.

Ilustración 1: Vaca del estudio, de color marrón oscuro pintada a rayas blancas y negras como una cebra.
El estudio premiado consiste en haber pintado vacas con rayas de cebra con objeto de estudiar si así se reduce el número de picaduras de moscas (y mosquitos).
Recordar, que una de las hipótesis para explicar las rayas de las cebras es que reduce el número de picaduras de los tábanos, porque el patrón de rayas interfiere con la visión polarizada de los insectos y genera una ilusión óptica (leer sino a Francisco Villatoro en “¿Por qué las cebras tienen rayas?”, publicado el 23 jul 2024).
El artículo premiado sugiere que pintar las vacas podría protegerlas contra enfermedades transmitidas por los mosquitos (que son vectores de muchos patógenos veterinarios).

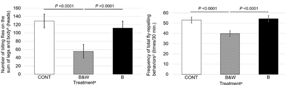
Ilustración 2: Gráficas del estudio.
Se han estudiado vacas de color marrón oscuro (grupo de control, CONT), pintadas con rayas blancas y negras a modo de cebras (grupo tratado con laca blanca, B&W Treatment) y pintadas con rayas negras (grupo tratado con laca negra, B).
Se ha estimado el número de picaduras de moscas hematófagas en las patas y el cuerpo de las vacas (izquierda) y el número de veces por minuto que las vacas espantan a dichas moscas (derecha).
Se observa que las rayas de cebra (B&W Treatment) reducen las picaduras a la mitad y también reducen un poco las veces que se espanta a las moscas.
Por cierto, el estudio se centra en las moscas hematófagas, que muerden a las vacas para acceder a su sangre, como la mosca de los establos (Stomoxys calcitrans), la mosca de los cuernos (Haematobia irritans) y el tábano (Tabanus sapporoensis), entre otras.
Futuros estudios tendrán que desvelar si pintar rayas en las vacas no tiene efectos secundarios; si no los hay podría ser un medio para reducir las enfermedades veterinarias transmitidas por las moscas hematófagas.

Dejar un comentario
¿Quieres unirte a la conversación?Siéntete libre de contribuir!